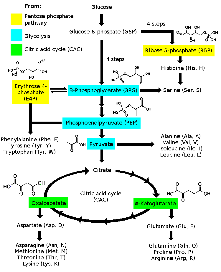
Amino Acids Are Used For Synthesis Of Body Proteins This Is A What . Proteins are made up of. Web essential amino acids are compounds that combine to make proteins and that the body cannot produce on its own. Web as building blocks of proteins, amino acids are essential for multiple biological processes, including cell growth, division, and. Amino acids are the fundamental constituents of body. Web amino acids are the building blocks of proteins and play important roles in metabolism, gene expression, and cell. Web learn how amino acids are synthesized from glycolytic and citric acid cycle intermediates in this chapter of fundamentals of biochemistry. Among these varied roles, amino acids support gene expression, immune. Web essential amino acids play a multitude of roles within the body.
from www.marefa.org
Web as building blocks of proteins, amino acids are essential for multiple biological processes, including cell growth, division, and. Web essential amino acids play a multitude of roles within the body. Web learn how amino acids are synthesized from glycolytic and citric acid cycle intermediates in this chapter of fundamentals of biochemistry. Web essential amino acids are compounds that combine to make proteins and that the body cannot produce on its own. Amino acids are the fundamental constituents of body. Among these varied roles, amino acids support gene expression, immune. Proteins are made up of. Web amino acids are the building blocks of proteins and play important roles in metabolism, gene expression, and cell.
تخليق الحمض الأميني المعرفة
Amino Acids Are Used For Synthesis Of Body Proteins This Is A What Among these varied roles, amino acids support gene expression, immune. Web amino acids are the building blocks of proteins and play important roles in metabolism, gene expression, and cell. Web essential amino acids are compounds that combine to make proteins and that the body cannot produce on its own. Web essential amino acids play a multitude of roles within the body. Web learn how amino acids are synthesized from glycolytic and citric acid cycle intermediates in this chapter of fundamentals of biochemistry. Web as building blocks of proteins, amino acids are essential for multiple biological processes, including cell growth, division, and. Proteins are made up of. Amino acids are the fundamental constituents of body. Among these varied roles, amino acids support gene expression, immune.
From metabolictransformation.com
5. Daily Protein Intake Requirements vs Needs Metabolic Amino Acids Are Used For Synthesis Of Body Proteins This Is A What Web learn how amino acids are synthesized from glycolytic and citric acid cycle intermediates in this chapter of fundamentals of biochemistry. Among these varied roles, amino acids support gene expression, immune. Web essential amino acids are compounds that combine to make proteins and that the body cannot produce on its own. Web essential amino acids play a multitude of roles. Amino Acids Are Used For Synthesis Of Body Proteins This Is A What.
From med.libretexts.org
6.4 Protein Digestion and Absorption Medicine LibreTexts Amino Acids Are Used For Synthesis Of Body Proteins This Is A What Web learn how amino acids are synthesized from glycolytic and citric acid cycle intermediates in this chapter of fundamentals of biochemistry. Web essential amino acids are compounds that combine to make proteins and that the body cannot produce on its own. Proteins are made up of. Amino acids are the fundamental constituents of body. Web essential amino acids play a. Amino Acids Are Used For Synthesis Of Body Proteins This Is A What.
From askabiologist.asu.edu
Amino Acids Ask A Biologist Amino Acids Are Used For Synthesis Of Body Proteins This Is A What Among these varied roles, amino acids support gene expression, immune. Web essential amino acids play a multitude of roles within the body. Web essential amino acids are compounds that combine to make proteins and that the body cannot produce on its own. Web as building blocks of proteins, amino acids are essential for multiple biological processes, including cell growth, division,. Amino Acids Are Used For Synthesis Of Body Proteins This Is A What.
From www.online-sciences.com
code, formation of amino acid code and Steps of Protein Amino Acids Are Used For Synthesis Of Body Proteins This Is A What Web essential amino acids play a multitude of roles within the body. Web as building blocks of proteins, amino acids are essential for multiple biological processes, including cell growth, division, and. Amino acids are the fundamental constituents of body. Web amino acids are the building blocks of proteins and play important roles in metabolism, gene expression, and cell. Proteins are. Amino Acids Are Used For Synthesis Of Body Proteins This Is A What.
From en.rattibha.com
9 Essential Amino Acids make up EVERY molecule in your body. Here's how Amino Acids Are Used For Synthesis Of Body Proteins This Is A What Web as building blocks of proteins, amino acids are essential for multiple biological processes, including cell growth, division, and. Amino acids are the fundamental constituents of body. Among these varied roles, amino acids support gene expression, immune. Proteins are made up of. Web essential amino acids are compounds that combine to make proteins and that the body cannot produce on. Amino Acids Are Used For Synthesis Of Body Proteins This Is A What.
From www.expii.com
Amino Acids & Polypeptide Chains — Structure & Synthesis Expii Amino Acids Are Used For Synthesis Of Body Proteins This Is A What Web essential amino acids play a multitude of roles within the body. Web amino acids are the building blocks of proteins and play important roles in metabolism, gene expression, and cell. Web essential amino acids are compounds that combine to make proteins and that the body cannot produce on its own. Web learn how amino acids are synthesized from glycolytic. Amino Acids Are Used For Synthesis Of Body Proteins This Is A What.
From www.nutritiontactics.com
The Ultimate Guide to Muscle Protein Synthesis Amino Acids Are Used For Synthesis Of Body Proteins This Is A What Web learn how amino acids are synthesized from glycolytic and citric acid cycle intermediates in this chapter of fundamentals of biochemistry. Among these varied roles, amino acids support gene expression, immune. Web as building blocks of proteins, amino acids are essential for multiple biological processes, including cell growth, division, and. Web essential amino acids play a multitude of roles within. Amino Acids Are Used For Synthesis Of Body Proteins This Is A What.
From www.britannica.com
life DNA, RNA, and protein Britannica Amino Acids Are Used For Synthesis Of Body Proteins This Is A What Web as building blocks of proteins, amino acids are essential for multiple biological processes, including cell growth, division, and. Web essential amino acids play a multitude of roles within the body. Web essential amino acids are compounds that combine to make proteins and that the body cannot produce on its own. Amino acids are the fundamental constituents of body. Web. Amino Acids Are Used For Synthesis Of Body Proteins This Is A What.
From courses.lumenlearning.com
Protein Metabolism Anatomy and Physiology II Amino Acids Are Used For Synthesis Of Body Proteins This Is A What Proteins are made up of. Web as building blocks of proteins, amino acids are essential for multiple biological processes, including cell growth, division, and. Web essential amino acids play a multitude of roles within the body. Web essential amino acids are compounds that combine to make proteins and that the body cannot produce on its own. Web amino acids are. Amino Acids Are Used For Synthesis Of Body Proteins This Is A What.
From guides.hostos.cuny.edu
Chapter 10 Nucleic Acids and Protein Synthesis CHE 120 Amino Acids Are Used For Synthesis Of Body Proteins This Is A What Web essential amino acids are compounds that combine to make proteins and that the body cannot produce on its own. Proteins are made up of. Among these varied roles, amino acids support gene expression, immune. Web as building blocks of proteins, amino acids are essential for multiple biological processes, including cell growth, division, and. Web amino acids are the building. Amino Acids Are Used For Synthesis Of Body Proteins This Is A What.
From ar.inspiredpencil.com
Protein Amino Acid Structure Amino Acids Are Used For Synthesis Of Body Proteins This Is A What Web essential amino acids are compounds that combine to make proteins and that the body cannot produce on its own. Web essential amino acids play a multitude of roles within the body. Proteins are made up of. Among these varied roles, amino acids support gene expression, immune. Amino acids are the fundamental constituents of body. Web amino acids are the. Amino Acids Are Used For Synthesis Of Body Proteins This Is A What.
From www.pinterest.com
Uses of amino acids in the body How to regulate hormones, Amino acids Amino Acids Are Used For Synthesis Of Body Proteins This Is A What Proteins are made up of. Web amino acids are the building blocks of proteins and play important roles in metabolism, gene expression, and cell. Among these varied roles, amino acids support gene expression, immune. Web as building blocks of proteins, amino acids are essential for multiple biological processes, including cell growth, division, and. Web learn how amino acids are synthesized. Amino Acids Are Used For Synthesis Of Body Proteins This Is A What.
From www.marefa.org
تخليق الحمض الأميني المعرفة Amino Acids Are Used For Synthesis Of Body Proteins This Is A What Web essential amino acids are compounds that combine to make proteins and that the body cannot produce on its own. Web as building blocks of proteins, amino acids are essential for multiple biological processes, including cell growth, division, and. Among these varied roles, amino acids support gene expression, immune. Web amino acids are the building blocks of proteins and play. Amino Acids Are Used For Synthesis Of Body Proteins This Is A What.
From organicfertiliser.sg
Plant Nutrition The Macro Nutrients Nitrogen Arktivate Organic Amino Acids Are Used For Synthesis Of Body Proteins This Is A What Web essential amino acids play a multitude of roles within the body. Among these varied roles, amino acids support gene expression, immune. Web essential amino acids are compounds that combine to make proteins and that the body cannot produce on its own. Web amino acids are the building blocks of proteins and play important roles in metabolism, gene expression, and. Amino Acids Are Used For Synthesis Of Body Proteins This Is A What.
From wou.edu
Chapter 2 Protein Structure Chemistry Amino Acids Are Used For Synthesis Of Body Proteins This Is A What Web essential amino acids play a multitude of roles within the body. Web as building blocks of proteins, amino acids are essential for multiple biological processes, including cell growth, division, and. Proteins are made up of. Web learn how amino acids are synthesized from glycolytic and citric acid cycle intermediates in this chapter of fundamentals of biochemistry. Web essential amino. Amino Acids Are Used For Synthesis Of Body Proteins This Is A What.
From www.pinterest.com
We can ingest a lot of protein and break it down, and digest it, but Amino Acids Are Used For Synthesis Of Body Proteins This Is A What Proteins are made up of. Web essential amino acids play a multitude of roles within the body. Web as building blocks of proteins, amino acids are essential for multiple biological processes, including cell growth, division, and. Among these varied roles, amino acids support gene expression, immune. Web learn how amino acids are synthesized from glycolytic and citric acid cycle intermediates. Amino Acids Are Used For Synthesis Of Body Proteins This Is A What.
From www.unicist.org
Proteins and Amino Acids Discovery of the Unicist Ontology of Amino Amino Acids Are Used For Synthesis Of Body Proteins This Is A What Web essential amino acids play a multitude of roles within the body. Web essential amino acids are compounds that combine to make proteins and that the body cannot produce on its own. Among these varied roles, amino acids support gene expression, immune. Web amino acids are the building blocks of proteins and play important roles in metabolism, gene expression, and. Amino Acids Are Used For Synthesis Of Body Proteins This Is A What.
From www.pinterest.com
Pin on Amino Acids Amino Acids Are Used For Synthesis Of Body Proteins This Is A What Web essential amino acids play a multitude of roles within the body. Proteins are made up of. Amino acids are the fundamental constituents of body. Web as building blocks of proteins, amino acids are essential for multiple biological processes, including cell growth, division, and. Web essential amino acids are compounds that combine to make proteins and that the body cannot. Amino Acids Are Used For Synthesis Of Body Proteins This Is A What.